Materi matematika integral merupakan salah satu konsep penting dalam matematika yang memiliki beragam aplikasi di berbagai bidang. Integral, baik tak tentu maupun tentu, membuka pintu untuk memahami berbagai fenomena dan perhitungan yang kompleks. Dari menghitung luas daerah di bawah kurva hingga volume benda putar, integral memberikan alat yang ampuh untuk menyelesaikan masalah tersebut.
Materi ini akan membahas definisi, konsep dasar, teknik-teknik pengintegralan, aplikasi integral dalam matematika, dan konteks matematika lanjut. Diharapkan setelah mempelajari materi ini, pembaca akan memiliki pemahaman yang lebih mendalam tentang integral dan dapat menerapkannya dalam berbagai permasalahan.
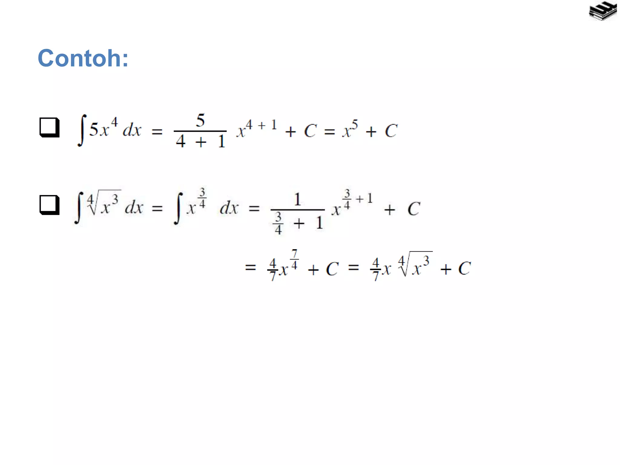
Definisi dan Konsep Dasar Integral
Integral merupakan konsep penting dalam matematika yang memiliki beragam aplikasi di berbagai bidang. Memahami definisi dan konsep dasar integral sangat krusial untuk mempelajari aplikasi dan penerapannya.
Pengertian Integral Tak Tentu dan Integral Tentu
Integral tak tentu adalah proses penemuan fungsi asal dari suatu turunan. Hasilnya berupa keluarga fungsi yang memiliki turunan sama. Integral tentu, di sisi lain, menghitung luas daerah di bawah kurva suatu fungsi dalam interval tertentu. Perbedaan mendasarnya terletak pada tujuan dan hasilnya.
Contoh Aplikasi Integral dalam Kehidupan Sehari-hari
Integral memiliki aplikasi yang luas, seperti menghitung luas bangun datar yang tidak beraturan, menghitung volume benda putar, dan menghitung kerja yang dilakukan oleh gaya variabel. Contohnya, perhitungan volume air dalam sebuah bendungan, perhitungan luas sawah, atau perhitungan kerja yang diperlukan untuk mengangkat beban yang berat.
Perbedaan Integral Tak Tentu dan Integral Tentu
Berikut tabel yang membandingkan sifat-sifat integral tak tentu dan integral tentu:
| Karakteristik | Integral Tak Tentu | Integral Tentu |
|---|---|---|
| Tujuan | Menentukan fungsi asal dari suatu turunan | Menghitung luas daerah di bawah kurva dalam interval tertentu |
| Hasil | Suatu keluarga fungsi | Suatu bilangan real |
| Notasi | ∫f(x) dx | ∫ab f(x) dx |
| Batasan | Tidak ada batasan | Memiliki batasan atas dan bawah (a dan b) |
Jenis-Jenis Integral Umum
Beberapa jenis integral umum yang sering digunakan meliputi:
- Integral Substitusi: Metode ini digunakan untuk menyelesaikan integral yang sulit dikerjakan dengan metode langsung. Teknik ini mengganti variabel integral dengan variabel baru untuk mempermudah perhitungan.
- Integral Parsial: Metode ini digunakan untuk menyelesaikan integral yang melibatkan perkalian dua fungsi. Teknik ini memanfaatkan aturan integral dari perkalian dua fungsi.
- Integral Trigonometri: Metode ini digunakan untuk menyelesaikan integral yang melibatkan fungsi trigonometri. Teknik ini memanfaatkan identitas trigonometri dan sifat-sifat integral fungsi trigonometri.
Teknik-Teknik Pengintegralan
Setelah memahami konsep dasar integral, kita akan menjelajahi berbagai teknik pengintegralan untuk memudahkan proses penyelesaiannya. Teknik-teknik ini memungkinkan kita untuk mengintegralkan fungsi-fungsi yang lebih kompleks.
Teknik Integral Substitusi
Teknik substitusi merupakan salah satu teknik penting dalam pengintegralan. Teknik ini bekerja dengan mengubah variabel integral sehingga bentuk integral menjadi lebih sederhana. Hal ini dapat dilakukan dengan mengganti variabel yang ada dalam fungsi dengan variabel baru yang sesuai. Perubahan variabel ini perlu diperhatikan agar tidak mengubah nilai integral keseluruhan.
Contoh Penerapan: Misalnya, kita ingin mengintegralkan fungsi f(x) = x2√(x 3 + 1) . Dengan substitusi u = x3 + 1 , maka du = 3x2 dx . Persamaan integral dapat diubah menjadi bentuk yang lebih sederhana, yaitu ∫√u (1/3) du.
Teknik Integral Parsial
Teknik integral parsial digunakan untuk mengintegralkan fungsi yang merupakan hasil perkalian dari dua fungsi. Teknik ini memanfaatkan rumus integral parsial, yang memungkinkan kita memecah integral menjadi dua bagian yang lebih sederhana.
Langkah-langkah: Misalnya, kita ingin mengintegralkan ∫x sin(x) dx. Kita pilih u = x dan dv = sin(x) dx. Kemudian kita cari turunan u ( du = dx) dan integral v ( v = -cos(x)). Selanjutnya, kita substitusikan ke rumus integral parsial: ∫u dv = u v – ∫v du. Hasilnya akan menjadi -x cos(x) + ∫cos(x) dx, yang dapat diselesaikan lebih lanjut.
Teknik Integral Trigonometri
Integral trigonometri melibatkan fungsi trigonometri seperti sin, cos, tan, dan sebagainya. Pemahaman terhadap identitas trigonometri sangat penting dalam menyelesaikan integral jenis ini.
- Penggunaan Identitas Trigonometri: Identitas trigonometri dapat digunakan untuk menyederhanakan bentuk integral yang kompleks. Contohnya, penggunaan identitas sin 2x + cos 2x = 1.
- Teknik Substitusi Trigonometri: Teknik substitusi trigonometri dapat digunakan untuk mengganti variabel dalam integral dengan fungsi trigonometri, sehingga bentuk integral menjadi lebih mudah diselesaikan.
Rumus Integral Trigonometri Umum
| Rumus | Keterangan |
|---|---|
| ∫sin(x) dx = -cos(x) + C | Integral dari sinus x |
| ∫cos(x) dx = sin(x) + C | Integral dari cosinus x |
| ∫tan(x) dx = -ln|cos(x)| + C | Integral dari tangen x |
| ∫cot(x) dx = ln|sin(x)| + C | Integral dari cotangen x |
| ∫sec2(x) dx = tan(x) + C | Integral dari secan kuadrat x |
| ∫csc2(x) dx = -cot(x) + C | Integral dari cosecan kuadrat x |
Teknik Substitusi Trigonometri
Teknik ini digunakan untuk mengintegralkan fungsi yang mengandung akar kuadrat dari polinomial. Substitusi trigonometri memungkinkan kita mengganti variabel dalam integral dengan fungsi trigonometri, sehingga bentuk integral menjadi lebih sederhana. Perlu diperhatikan hubungan trigonometri yang tepat untuk setiap kasus.
Contoh: Untuk mengintegralkan ∫√(a 2
-x 2) dx, substitusi trigonometri yang tepat adalah x = a sin θ.
Aplikasi Integral dalam Matematika

Integral, selain sebagai konsep dasar dalam kalkulus, memiliki beragam aplikasi praktis dalam berbagai bidang. Salah satu penerapannya yang signifikan adalah dalam menghitung luas daerah di bawah kurva dan volume benda putar. Pemahaman mendalam akan aplikasi-aplikasi ini sangat penting untuk menganalisis dan memecahkan masalah dalam berbagai konteks, mulai dari sains hingga teknik.
Penerapan Integral dalam Menghitung Luas Daerah
Integral dapat digunakan untuk menentukan luas daerah di bawah kurva yang dibatasi oleh sumbu x dan kurva fungsi. Prinsip dasarnya adalah dengan membagi daerah tersebut menjadi sejumlah tak hingga persegi panjang kecil, dan menghitung luas masing-masing persegi panjang tersebut. Kemudian, dengan menjumlahkan luas semua persegi panjang tersebut (yang dapat didekati dengan integral), kita memperoleh luas total daerah di bawah kurva.
Penerapan Integral dalam Menghitung Volume Benda Putar
Integral juga memungkinkan perhitungan volume benda putar. Misalnya, jika suatu daerah diputar mengelilingi sumbu tertentu, integral dapat digunakan untuk menghitung volume benda putar yang dihasilkan. Teknik ini menggunakan prinsip penjumlahan volume sejumlah tak hingga silinder kecil yang terbentuk dari pemotongan daerah tersebut dan diputar.
Contoh Soal Menghitung Luas Daerah
Misalkan kita ingin menghitung luas daerah yang dibatasi oleh kurva y = x2, sumbu x, dan garis x = 2. Luas daerah ini dapat dihitung dengan integral tentu:
∫02 x 2 dx
Dengan menyelesaikan integral tersebut, kita peroleh luas daerahnya. Hasil perhitungan ini memberikan luas daerah yang diinginkan.
Cara Menghitung Volume Benda Putar
Untuk menghitung volume benda putar yang diputar mengelilingi sumbu x atau sumbu y, ada beberapa metode yang dapat digunakan. Berikut ini contoh penerapan integral dalam menghitung volume benda putar:
- Metode Irisan Silinder (Disk/Washer): Metode ini digunakan untuk menghitung volume benda putar yang diputar mengelilingi sumbu x atau y. Bayangkan daerah tersebut dipotong-potong menjadi irisan-irisan kecil, dan setiap irisan diputar mengelilingi sumbu. Volume setiap irisan dihitung, dan kemudian dijumlahkan menggunakan integral.
- Metode Kulit Silinder: Metode ini juga digunakan untuk menghitung volume benda putar. Perbedaannya adalah bahwa metode ini memvisualisasikan daerah tersebut sebagai kulit-kulit silinder yang diputar mengelilingi sumbu. Volume masing-masing kulit silinder dihitung, dan dijumlahkan menggunakan integral.
Hubungan Antara Luas Daerah, Volume Benda Putar, dan Integral
Terdapat hubungan erat antara luas daerah, volume benda putar, dan integral. Integral berfungsi sebagai alat penghubung antara geometri dan kalkulus. Integral digunakan untuk menghitung luas daerah di bawah kurva, dan volume benda putar yang dihasilkan dari rotasi daerah tersebut mengelilingi suatu sumbu. Diagram berikut menggambarkan hubungan tersebut secara skematis:
(Diagram skematis hubungan antara luas daerah, volume benda putar, dan integral, akan diilustrasikan secara verbal. Contohnya: “Diagram menunjukkan daerah di bawah kurva yang diputar mengelilingi sumbu x, menghasilkan benda putar. Integral digunakan untuk menghitung luas daerah dan volume benda putar tersebut.”)
Materi Integral dalam Konteks Matematika Lanjut
Setelah memahami dasar-dasar integral, kita akan menjelajahi penerapannya dalam konteks matematika yang lebih kompleks. Pemahaman tentang hubungan integral dengan turunan, integral lipat ganda, dan aplikasinya dalam fisika serta persamaan diferensial akan memperkaya pemahaman kita tentang kalkulus.
Hubungan Integral dengan Turunan
Integral dan turunan merupakan dua konsep yang saling terkait erat dalam kalkulus. Turunan suatu fungsi memberikan kemiringan garis singgung pada titik tertentu pada kurva, sedangkan integral memberikan luas di bawah kurva. Teorema Dasar Kalkulus menghubungkan kedua konsep ini, yang menyatakan bahwa integral dari turunan suatu fungsi sama dengan fungsi itu sendiri (dengan penambahan konstanta).
Konsep Integral Lipat Ganda
Integral lipat ganda merupakan perluasan konsep integral tunggal ke dalam dua atau tiga dimensi. Integral lipat ganda digunakan untuk menghitung luas daerah atau volume benda pejal dalam ruang. Teknik ini sangat penting dalam berbagai aplikasi, seperti perhitungan volume benda pejal tak beraturan dan menghitung massa atau momen inersia dari benda.
- Integral lipat ganda dua variabel digunakan untuk menghitung luas suatu daerah di bidang datar.
- Integral lipat ganda tiga variabel digunakan untuk menghitung volume suatu benda pejal di ruang tiga dimensi.
- Penggunaan koordinat kutub atau koordinat silindris/bola dapat mempermudah perhitungan integral lipat ganda dalam kasus tertentu.
Penerapan Integral dalam Perhitungan Fisika
Konsep integral memiliki peran krusial dalam perhitungan fisika. Misalnya, integral digunakan untuk menghitung kecepatan dari percepatan, perpindahan dari kecepatan, dan luas daerah dari grafik yang menggambarkan besaran fisika.
| Besaran Fisika | Rumus Integral | Penjelasan |
|---|---|---|
| Luas | ∫ab f(x) dx | Menghitung luas di bawah kurva f(x) antara x=a dan x=b. |
| Kecepatan | ∫t1t2 a(t) dt | Menghitung kecepatan dari percepatan a(t) antara waktu t1 dan t2. |
Contoh Penggunaan Integral Lipat Ganda untuk Menghitung Volume
Misalnya, untuk menghitung volume benda pejal di bawah permukaan z = f(x,y) di atas daerah D pada bidang xy, kita dapat menggunakan integral lipat ganda:
V = ∬D f(x,y) dA
dimana dA merepresentasikan elemen luas di bidang xy. Dengan batasan yang tepat untuk daerah integrasi D, integral lipat ganda ini akan memberikan volume benda pejal tersebut.
Persamaan Diferensial dan Kaitannya dengan Integral
Persamaan diferensial adalah persamaan yang melibatkan turunan dari suatu fungsi. Solusi dari persamaan diferensial seringkali melibatkan integral. Teknik-teknik tertentu digunakan untuk menyelesaikan persamaan diferensial dan mendapatkan fungsi yang memenuhi persamaan tersebut.
Contoh Soal dan Latihan
Berikut disajikan beberapa contoh soal dan latihan integral, mulai dari integral tak tentu hingga integral dengan metode tertentu. Pemahaman terhadap contoh-contoh ini diharapkan dapat memperkuat pemahaman konsep integral dan penerapannya.
Contoh Soal Integral Tak Tentu
- Soal 1: Tentukan integral tak tentu dari fungsi f(x) = 3x2 + 2x – 5 .
Jawaban: x3 + x 2
-5x + C - Soal 2: Carilah integral tak tentu dari fungsi f(x) = sin(x) + cos(2x).
Jawaban: -cos(x) + (1/2)sin(2x) + C
- Soal 3: Hitung integral tak tentu dari fungsi f(x) = (x3 + 2) / x 2.
Jawaban: (1/3)x3 + 2x -1 + C
Contoh Soal Integral Tentu
- Soal 1: Hitunglah integral tentu dari fungsi f(x) = x2 di interval [0, 2].
Jawaban: (8/3)
- Soal 2: Tentukan nilai integral tentu dari fungsi f(x) = ex di interval [0, 1].
Jawaban: e1
-1 - Soal 3: Carilah integral tentu dari fungsi f(x) = 2x + 1 di interval [-1, 1].
Jawaban: 4
Soal Latihan Integral Substitusi
- Soal 1: Tentukan integral dari f(x) = x2√(x 3 + 1) dx dengan substitusi u = x3 + 1 .
- Soal 2: Hitunglah integral dari f(x) = sin3(x) cos(x) dx dengan substitusi u = sin(x).
- Soal 3: Carilah integral dari f(x) = (ex) / (e 2x + 1) dx dengan substitusi u = ex.
Soal Latihan Integral Parsial
- Soal 1: Hitunglah integral dari f(x) = x sin(x) dx dengan metode integral parsial.
- Soal 2: Tentukan integral dari f(x) = x2 ln(x) dx menggunakan integral parsial.
- Soal 3: Carilah integral dari f(x) = (x2 + 1) e x dx dengan teknik integral parsial.
Soal Latihan Integral Trigonometri
- Soal 1: Tentukan integral dari f(x) = sin2(x) dx . Gunakan identitas trigonometri.
- Soal 2: Hitunglah integral dari f(x) = cos3(x) dx . Gunakan identitas trigonometri.
- Soal 3: Carilah integral dari f(x) = tan2(x) dx . Gunakan identitas trigonometri.
Ilustrasi Visual

Memahami konsep integral tak hanya melalui rumus dan perhitungan, tetapi juga melalui visualisasi. Ilustrasi visual membantu kita melihat hubungan antar komponen dan mengaplikasikan konsep tersebut secara konkret. Berikut beberapa contoh ilustrasi visual yang dapat memperjelas pemahaman tentang integral.
Grafik Integral Tak Tentu
Grafik integral tak tentu menggambarkan kurva yang merupakan himpunan semua antiturunan dari suatu fungsi. Setiap titik pada kurva mewakili antiturunan yang berbeda. Grafik ini menunjukkan bagaimana perubahan nilai integral seiring perubahan variabel.
Luas Daerah di Bawah Kurva, Materi matematika integral
Ilustrasi luas daerah di bawah kurva menunjukkan bagaimana integral dapat menghitung luas daerah yang dibatasi oleh kurva, sumbu x, dan dua garis vertikal. Gambar akan memperlihatkan bagaimana pembagian daerah menjadi sejumlah kecil persegi panjang yang luasnya dijumlahkan untuk mendekati luas total. Semakin banyak persegi panjang yang digunakan, semakin akurat perhitungan luasnya.
Benda Putar
Ilustrasi benda putar mengelilingi sumbu x menggambarkan bagaimana integral digunakan untuk menghitung volume benda yang terbentuk dari rotasi kurva di sekitar sumbu x. Gambar akan menunjukkan potongan tipis benda putar yang diputar di sekitar sumbu x, dan bagaimana integral digunakan untuk menjumlahkan volume potongan-potongan tersebut untuk mendapatkan volume total benda.
Hubungan Integral dan Turunan
Ilustrasi ini akan menunjukkan hubungan antara integral dan turunan dengan menampilkan grafik fungsi dan grafik turunannya. Grafik akan memperlihatkan bagaimana integral dan turunan saling berlawanan, sehingga turunan dari suatu fungsi merupakan integral dari turunannya. Misalnya, jika kita mengambil turunan dari fungsi, maka integral dari hasil turunan tersebut akan mengembalikan fungsi aslinya.
Integral Lipat Ganda
Ilustrasi integral lipat ganda memperlihatkan proses menghitung integral pada daerah dua dimensi atau tiga dimensi. Gambar akan menunjukkan bagaimana integral lipat ganda digunakan untuk menghitung volume atau luas daerah yang tidak sederhana, dengan pembagian daerah menjadi potongan-potongan kecil yang kemudian dijumlahkan. Ilustrasi mungkin menggunakan contoh seperti menghitung luas suatu wilayah atau volume suatu benda tiga dimensi.
Penutup: Materi Matematika Integral
Dalam kesimpulannya, materi matematika integral menawarkan cara yang sistematis untuk menyelesaikan masalah-masalah matematika yang rumit. Dari konsep dasar hingga aplikasi dalam matematika lanjut, integral menjadi alat yang tak ternilai. Dengan memahami konsep dan teknik-teknik pengintegralan, kita dapat memecahkan berbagai masalah dalam berbagai bidang, seperti fisika dan teknik. Semoga materi ini dapat memberikan pemahaman yang komprehensif dan bermanfaat.